UN POCO DE MATEMÁTICAS

lunes, 30 de noviembre de 2015

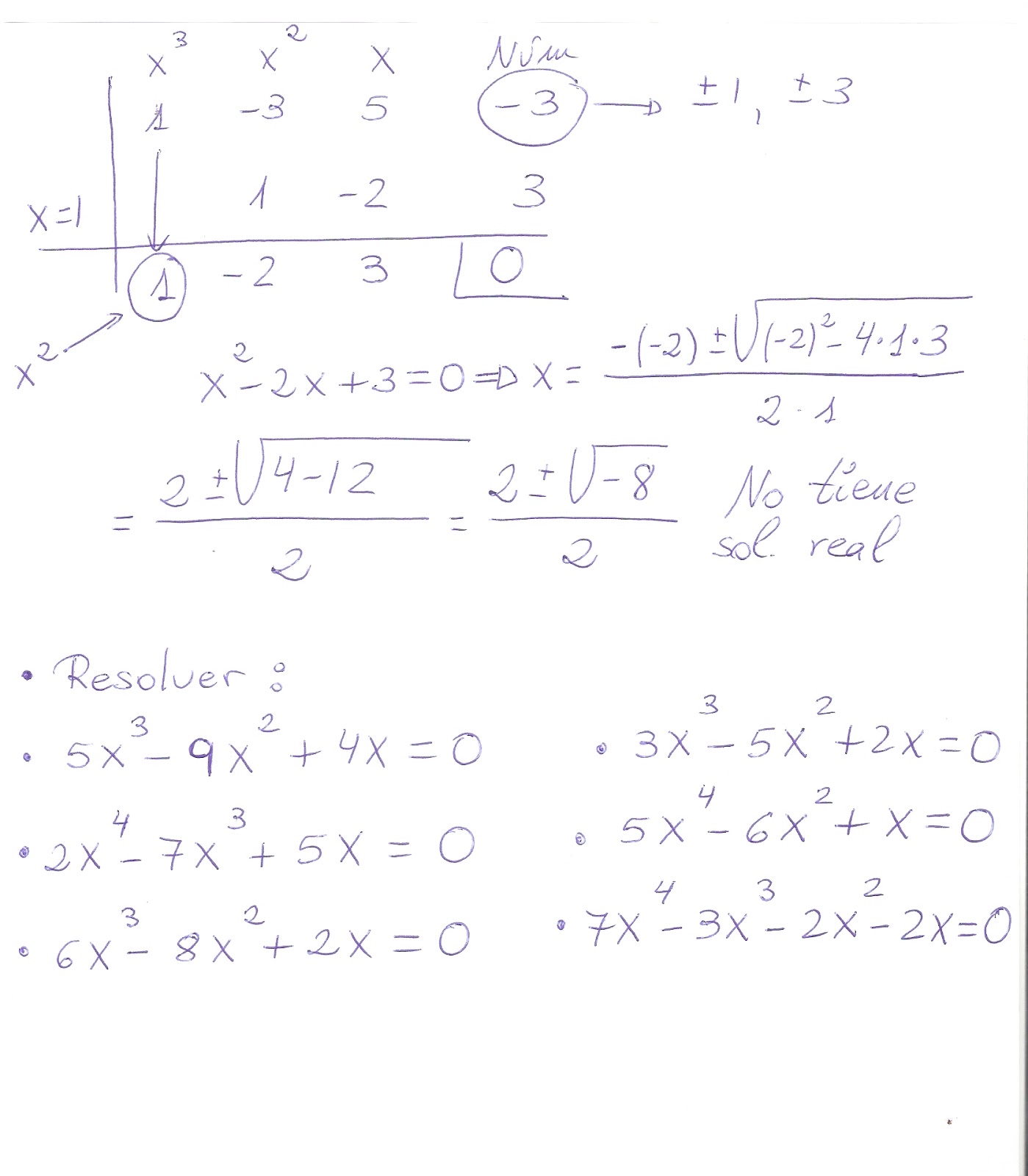
ECUACIONES POLINÓMICAS 4 ESO

Publicado por Emilio en 15:07
Enviar por correo electrónicoEscribe un blogCompartir en XCompartir con FacebookCompartir en Pinterest

No hay comentarios:

Publicar un comentario

Entrada más reciente Entrada antigua Inicio
Suscribirse a: Enviar comentarios (Atom)

Datos personales

Emilio
Ver todo mi perfil

Archivo del blog

  • ►  2020 (26)
    • ►  abril (10)
    • ►  marzo (13)
    • ►  febrero (1)
    • ►  enero (2)
  • ►  2019 (2)
    • ►  diciembre (2)
  • ►  2017 (5)
    • ►  julio (3)
    • ►  abril (1)
    • ►  enero (1)
  • ►  2016 (23)
    • ►  septiembre (1)
    • ►  julio (4)
    • ►  junio (7)
    • ►  abril (3)
    • ►  marzo (2)
    • ►  enero (6)
  • ▼  2015 (18)
    • ►  diciembre (4)
    • ▼  noviembre (6)
      • ECUACIONES POLINÓMICAS 4 ESO
      • FICHA 1 BACH
      • FICHA POLINOMIOS 3 ESO
      • SOLUCIONES
      • FICHA 4 ESO
      • FICHA POLINOMIOS 1 BACHILLERATO
    • ►  octubre (2)
    • ►  septiembre (6)
  • ►  2014 (74)
    • ►  noviembre (2)
    • ►  octubre (2)
    • ►  septiembre (2)
    • ►  agosto (7)
    • ►  julio (11)
    • ►  junio (2)
    • ►  mayo (14)
    • ►  abril (5)
    • ►  marzo (14)
    • ►  febrero (15)
Tema Picture Window. Imágenes del tema: lishenjun. Con la tecnología de Blogger.